Skip to yearly menu bar Skip to main content


Timezone: America/Los_Angeles
Filter Events
Datasets and Benchmarks

Dataset and Benchmark Poster Session 2

Joaquin Vanschoren ⋅ Serena Yeung-Levy
12:00 AM - 2:00 AM

The Datasets and Benchmarks track serves as a novel venue for high-quality publications, talks, and posters on highly valuable machine learning datasets and benchmarks, as well as a forum for discussions on how to improve dataset development. Datasets and benchmarks are crucial for the development of machine learning methods, but also require their own publishing and reviewing guidelines. For instance, datasets can often not be reviewed in a double-blind fashion, and hence full anonymization will not be required. On the other hand, they do require additional specific checks, such as a proper description of how the data was collected, whether they show intrinsic bias, and whether they will remain accessible.

... more
Poster
12:30 AM - 2:00 AM
276 Events in this session
Chaoyue Song ⋅ Jiacheng Wei ⋅ Ruibo Li ⋅ Fayao Liu ⋅ Guosheng Lin
Han Shao ⋅ Tassilo Kugelstadt ⋅ Torsten Hädrich ⋅ Wojtek Palubicki ⋅ Jan Bender ⋅ Soeren Pirk ⋅ Dominik L Michels
Jiangxin Sun ⋅ Zihang Lin ⋅ Xintong Han ⋅ Jian-Fang Hu ⋅ Jia Xu ⋅ Wei-Shi Zheng
Jayneel Parekh ⋅ Pavlo Mozharovskyi ⋅ Florence d'Alché-Buc
Zi-Hang Jiang ⋅ Qibin Hou ⋅ Li Yuan ⋅ Daquan Zhou ⋅ Yujun Shi ⋅ Xiaojie Jin ⋅ Anran Wang ⋅ Jiashi Feng
Yang Zhang ⋅ Bo Tang ⋅ Qingyu Yang ⋅ Dou An ⋅ Hongyin Tang ⋅ Chenyang Xi ⋅ Xueying LI ⋅ Feiyu Xiong
NA DONG ⋅ Yongqiang Zhang ⋅ Mingli Ding ⋅ Gim Hee Lee
Rabeeh Karimi Mahabadi ⋅ James Henderson ⋅ Sebastian Ruder
Denizalp Goktas ⋅ Amy Greenwald
Alexander Meulemans ⋅ Matilde Tristany Farinha ⋅ Javier Garcia Ordonez ⋅ Pau Vilimelis Aceituno ⋅ João Sacramento ⋅ Benjamin F. Grewe
Nastaran Okati ⋅ Abir De ⋅ Manuel Rodriguez
Shuxuan Guo ⋅ Jose M. Alvarez ⋅ Mathieu Salzmann
Du Zhixing ⋅ Rui Zhang ⋅ Ming Chang ⋅ xishan zhang ⋅ Shaoli Liu ⋅ Tianshi Chen ⋅ Yunji Chen
Manh-Ha Bui ⋅ Toan Tran ⋅ Anh Tran ⋅ Dinh Phung
Yu-Xuan Huang ⋅ Wang-Zhou Dai ⋅ Le-Wen Cai ⋅ Stephen H Muggleton ⋅ Yuan Jiang
Yuhang Cao ⋅ Jiaqi Wang ⋅ Ying Jin ⋅ Tong Wu ⋅ Kai Chen ⋅ Ziwei Liu ⋅ Dahua Lin
Bowen Zhang ⋅ Yidong Wang ⋅ Wenxin Hou ⋅ HAO WU ⋅ Jindong Wang ⋅ Manabu Okumura ⋅ Takahiro Shinozaki
Hugo Cui ⋅ Bruno Loureiro ⋅ Florent Krzakala ⋅ Lenka Zdeborová
Athanasios Papadopoulos ⋅ Pawel Korus ⋅ Nasir Memon
Zhaozhi Qian ⋅ William Zame ⋅ Lucas Fleuren ⋅ Paul Elbers ⋅ Mihaela van der Schaar
Wen Shen ⋅ Qihan Ren ⋅ Dongrui Liu ⋅ Quanshi Zhang
JAEHOON LEE ⋅ Jihyeon Hyeong ⋅ Jinsung Jeon ⋅ Noseong Park ⋅ Jihoon Cho
Divyansh Garg ⋅ Shuvam Chakraborty ⋅ Chris Cundy ⋅ Jiaming Song ⋅ Stefano Ermon
Paul Haider ⋅ Benjamin Ellenberger ⋅ Laura Kriener ⋅ Jakob Jordan ⋅ Walter Senn ⋅ Mihai A. Petrovici
Chang Liu ⋅ Xinwei Sun ⋅ Jindong Wang ⋅ Haoyue Tang ⋅ Tao Li ⋅ Tao Qin ⋅ Wei Chen ⋅ Tie-Yan Liu
Minsu Kim ⋅ Jinkyoo Park ⋅ joungho kim
Tiantian He ⋅ Yew Soon Ong ⋅ L Bai
Weijiang Yu ⋅ Haoteng Zheng ⋅ Mengfei Li ⋅ Lei Ji ⋅ Lijun Wu ⋅ Nong Xiao ⋅ Nan Duan
Chu Zhou ⋅ Minggui Teng ⋅ Yufei Han ⋅ Chao Xu ⋅ Boxin Shi
Yuanhao Cai ⋅ Xiaowan Hu ⋅ Haoqian Wang ⋅ Yulun Zhang ⋅ Hanspeter Pfister ⋅ Donglai Wei
Yining Ma ⋅ Jingwen Li ⋅ Zhiguang Cao ⋅ Wen Song ⋅ Le Zhang ⋅ Zhenghua Chen ⋅ Jing Tang
Awais Muhammad ⋅ Fengwei Zhou ⋅ Chuanlong Xie ⋅ Jiawei Li ⋅ Sung-Ho Bae ⋅ Zhenguo Li
Farhad Ghazvinian Zanjani ⋅ Ilia Karmanov ⋅ Hanno Ackermann ⋅ Daniel Dijkman ⋅ Simone Merlin ⋅ Max Welling ⋅ Fatih Porikli
Yonghyeon LEE ⋅ Hyeokjun Kwon ⋅ Frank Park
Quan Zheng ⋅ Gurprit Singh ⋅ Hans-peter Seidel
Jingkang Wang ⋅ Hongyi Guo ⋅ Zhaowei Zhu ⋅ Yang Liu
Nurendra Choudhary ⋅ Nikhil Rao ⋅ Sumeet Katariya ⋅ Karthik Subbian ⋅ Chandan Reddy
Daiki Chijiwa ⋅ Shin'ya Yamaguchi ⋅ Yasutoshi Ida ⋅ Kenji Umakoshi ⋅ Tomohiro INOUE
Yining Hong ⋅ Li Yi ⋅ Josh Tenenbaum ⋅ Antonio Torralba ⋅ Chuang Gan
Krishnateja Killamsetty ⋅ Xujiang Zhao ⋅ Feng Chen ⋅ Rishabh Iyer
Luca Viano ⋅ Yu-Ting Huang ⋅ Parameswaran Kamalaruban ⋅ Adrian Weller ⋅ Volkan Cevher
Amir Hertz ⋅ Or Perel ⋅ Raja Giryes ⋅ Olga Sorkine-hornung ⋅ Daniel Cohen-or
Zhuo Wang ⋅ Wei Zhang ⋅ Ning Liu ⋅ Jianyong Wang
Denys Rozumnyi ⋅ Martin R. Oswald ⋅ Vittorio Ferrari ⋅ Marc Pollefeys
Amrutha Saseendran ⋅ Kathrin Skubch ⋅ Stefan Falkner ⋅ Margret Keuper
YU LI ⋅ Min LI ⋅ Qiuxia LAI ⋅ Yannan Liu ⋅ Qiang Xu
Chenjie Cao ⋅ Yuxin Hong ⋅ Xiang Li ⋅ Chengrong Wang ⋅ Chengming Xu ⋅ Yanwei Fu ⋅ Xiangyang Xue
Jie Ren ⋅ Die Zhang ⋅ Yisen Wang ⋅ Lu Chen ⋅ Zhanpeng Zhou ⋅ Yiting Chen ⋅ Xu Cheng ⋅ Xin Wang ⋅ Meng Zhou ⋅ Jie Shi ⋅ Quanshi Zhang
Sungyoon Lee ⋅ Woojin Lee ⋅ Jinseong Park ⋅ Jaewook Lee
Rahul Rahaman ⋅ alexandre thiery
Thomy Phan ⋅ Fabian Ritz ⋅ Lenz Belzner ⋅ Philipp Altmann ⋅ Thomas Gabor ⋅ Claudia Linnhoff-Popien
Federico López ⋅ Beatrice Pozzetti ⋅ Steve Trettel ⋅ Michael Strube ⋅ Anna Wienhard
Sukjun Hwang ⋅ Miran Heo ⋅ Seoung Wug Oh ⋅ Seon Joo Kim
Shitong Luo ⋅ Jiaqi Guan ⋅ Jianzhu Ma ⋅ Jian Peng
Yoan Russac ⋅ Christina Katsimerou ⋅ Dennis Bohle ⋅ Olivier Cappé ⋅ Aurélien Garivier ⋅ Wouter Koolen
Chenyang Wu ⋅ Guoyu Yang ⋅ Zongzhang Zhang ⋅ Yang Yu ⋅ Dong Li ⋅ Wulong Liu ⋅ Jianye Hao
Peter Bartlett ⋅ Sebastien Bubeck ⋅ Yeshwanth Cherapanamjeri
Fu-En Yang ⋅ Yuan-Chia Cheng ⋅ Zu-Yun Shiau ⋅ Frank Wang
Liyuan Wang ⋅ Mingtian Zhang ⋅ Zhongfan Jia ⋅ Qian Li ⋅ Chenglong Bao ⋅ Kaisheng Ma ⋅ Jun Zhu ⋅ Yi Zhong
Yi Ma ⋅ Xiaotian Hao ⋅ Jianye Hao ⋅ Jiawen Lu ⋅ Xing Liu ⋅ Tong Xialiang ⋅ Mingxuan Yuan ⋅ Zhigang Li ⋅ Jie Tang ⋅ Zhaopeng Meng
Tero Karras ⋅ Miika Aittala ⋅ Samuli Laine ⋅ Erik Härkönen ⋅ Janne Hellsten ⋅ Jaakko Lehtinen ⋅ Timo Aila
Junnan Li ⋅ Ramprasaath Selvaraju ⋅ Akhilesh Gotmare ⋅ Shafiq Joty ⋅ Caiming Xiong ⋅ Steven Chu Hong Hoi
Shujian Zhang ⋅ Xinjie Fan ⋅ Huangjie Zheng ⋅ Korawat Tanwisuth ⋅ Mingyuan Zhou
Xinyi Tong ⋅ Xiangxiang Xu ⋅ Shao-Lun Huang ⋅ Lizhong Zheng
Jiangning Zhang ⋅ Chao Xu ⋅ Jian Li ⋅ Wenzhou Chen ⋅ Yabiao Wang ⋅ Ying Tai ⋅ Shuo Chen ⋅ Chengjie Wang ⋅ Feiyue Huang ⋅ Yong Liu
Xinghao Chen ⋅ Chang Xu ⋅ Minjing Dong ⋅ Chunjing XU ⋅ Yunhe Wang
Paul Viallard ⋅ Eric Guillaume VIDOT ⋅ Amaury Habrard ⋅ Emilie Morvant
Sebastien Bubeck ⋅ Yeshwanth Cherapanamjeri ⋅ Gauthier Gidel ⋅ Remi Tachet des Combes
Theo Bodrito ⋅ Alexandre Zouaoui ⋅ Jocelyn Chanussot ⋅ Julien Mairal
Tong Wu ⋅ Liang Pan ⋅ Junzhe Zhang ⋅ Tai WANG ⋅ Ziwei Liu ⋅ Dahua Lin
Hadi Daneshmand ⋅ Amir Joudaki ⋅ Francis Bach
Mingcong Liu ⋅ Qiang Li ⋅ Zekui Qin ⋅ Guoxin Zhang ⋅ Pengfei Wan ⋅ Wen Zheng
Evgenii Egorov ⋅ Anna Kuzina ⋅ Evgeny Burnaev
Chenghao Li ⋅ Tonghan Wang ⋅ Chengjie Wu ⋅ Qianchuan Zhao ⋅ Jun Yang ⋅ Chongjie Zhang
Hao Yu ⋅ Fu Li ⋅ Mahdi Saleh ⋅ Benjamin Busam ⋅ Slobodan Ilic
El Mahdi El-Mhamdi ⋅ Sadegh Farhadkhani ⋅ Rachid Guerraoui ⋅ Arsany Guirguis ⋅ Lê-Nguyên Hoang ⋅ Sébastien Rouault
Zhenyu Wang ⋅ Ya-Li Li ⋅ Ye Guo ⋅ Shengjin Wang
Jianbo Ouyang ⋅ Hui Wu ⋅ Min Wang ⋅ Wengang Zhou ⋅ Houqiang Li
Maciej Wołczyk ⋅ Michał Zając ⋅ Razvan Pascanu ⋅ Łukasz Kuciński ⋅ Piotr Miłoś
Mathieu Even ⋅ Raphaël Berthier ⋅ Francis Bach ⋅ Nicolas Flammarion ⋅ Hadrien Hendrikx ⋅ Pierre Gaillard ⋅ Laurent Massoulié ⋅ Adrien Taylor
Sheng Wan ⋅ Yibing Zhan ⋅ Liu Liu ⋅ Baosheng Yu ⋅ Shirui Pan ⋅ Chen Gong
Hao Zhu ⋅ Ke Sun ⋅ Peter Koniusz
Nikos Vlassis ⋅ Ashok Chandrashekar ⋅ Fernando Amat ⋅ Nathan Kallus
Mohammadreza Armandpour ⋅ Ali Sadeghian ⋅ Mingyuan Zhou
Zifan Wu ⋅ Chao Yu ⋅ Deheng Ye ⋅ Junge Zhang ⋅ haiyin piao ⋅ Hankz Hankui Zhuo
Julian Lienen ⋅ Eyke Hüllermeier
Ceyuan Yang ⋅ Yujun Shen ⋅ Yinghao Xu ⋅ Bolei Zhou
Zhiquan Wen ⋅ Guanghui Xu ⋅ Mingkui Tan ⋅ Qingyao Wu ⋅ Qi Wu
shuwen yang ⋅ Ziyao Li ⋅ Guojie Song ⋅ Lingsheng Cai
Hang Xu ⋅ Kelly Kostopoulou ⋅ Aritra Dutta ⋅ Xin Li ⋅ Alexandros Ntoulas ⋅ Panos Kalnis
Iulia Duta ⋅ Andrei Nicolicioiu ⋅ Marius Leordeanu
Lorenzo Noci ⋅ Kevin Roth ⋅ Gregor Bachmann ⋅ Sebastian Nowozin ⋅ Thomas Hofmann
Harshay Shah ⋅ Prateek Jain ⋅ Praneeth Netrapalli
Yi Xu ⋅ Jiandong Ding ⋅ Lu Zhang ⋅ Shuigeng Zhou
Quang Pham ⋅ Chenghao Liu ⋅ Steven Hoi
Mingyuan Mao ⋅ peng gao ⋅ Renrui Zhang ⋅ Honghui Zheng ⋅ Teli Ma ⋅ Yan Peng ⋅ Errui Ding ⋅ Baochang Zhang ⋅ Shumin Han
Zaixiang Zheng ⋅ Hao Zhou ⋅ Shujian Huang ⋅ Jiajun Chen ⋅ Jingjing Xu ⋅ Lei Li
Lin Song ⋅ Songyang Zhang ⋅ Songtao Liu ⋅ Zeming Li ⋅ Xuming He ⋅ Hongbin Sun ⋅ Jian Sun ⋅ Nanning Zheng
Yongming Rao ⋅ Wenliang Zhao ⋅ Benlin Liu ⋅ Jiwen Lu ⋅ Jie Zhou ⋅ Cho-Jui Hsieh
Patrick Kidger ⋅ James Foster ⋅ Xuechen (Chen) Li ⋅ Terry Lyons
Lingshen He ⋅ Yuxuan Chen ⋅ zhengyang shen ⋅ Yiming Dong ⋅ Yisen Wang ⋅ Zhouchen Lin
Yahui Liu ⋅ Enver Sangineto ⋅ Wei Bi ⋅ Nicu Sebe ⋅ Bruno Lepri ⋅ Marco Nadai
Robin Hesse ⋅ Simone Schaub-Meyer ⋅ Stefan Roth
Yichong Leng ⋅ Xu Tan ⋅ Linchen Zhu ⋅ Jin Xu ⋅ Renqian Luo ⋅ Linquan Liu ⋅ Tao Qin ⋅ Xiangyang Li ⋅ Edward Lin ⋅ Tie-Yan Liu
Liangbin Xie ⋅ Xintao Wang ⋅ Chao Dong ⋅ Zhongang Qi ⋅ Ying Shan
Taehyeon Kim ⋅ Jongwoo Ko ⋅ sangwook Cho ⋅ JinHwan Choi ⋅ Se-Young Yun
Danruo DENG ⋅ Guangyong Chen ⋅ Jianye Hao ⋅ Qiong Wang ⋅ Pheng-Ann Heng
Fangzhou Hong ⋅ Liang Pan ⋅ Zhongang Cai ⋅ Ziwei Liu
Atsushi Suzuki ⋅ Atsushi Nitanda ⋅ jing wang ⋅ Linchuan Xu ⋅ Kenji Yamanishi ⋅ Marc Cavazza
Xudong XU ⋅ Xingang Pan ⋅ Dahua Lin ⋅ Bo Dai
Mohammadamin Banayeeanzade ⋅ Rasoul Mirzaiezadeh ⋅ Hosein Hasani ⋅ Mahdieh Soleymani
Yongming Rao ⋅ Wenliang Zhao ⋅ Zheng Zhu ⋅ Jiwen Lu ⋅ Jie Zhou
Chen Zhu ⋅ Renkun Ni ⋅ Zheng Xu ⋅ Kezhi Kong ⋅ W. Ronny Huang ⋅ Tom Goldstein
Longqi Yang ⋅ Liangliang Zhang ⋅ Wenjing Yang
Junhan Yang ⋅ Zheng Liu ⋅ Shitao Xiao ⋅ Chaozhuo Li ⋅ Defu Lian ⋅ Sanjay Agrawal ⋅ Amit Singh ⋅ Guangzhong Sun ⋅ Xing Xie
Minjing Dong ⋅ Yunhe Wang ⋅ Xinghao Chen ⋅ Chang Xu
Xinshuai Dong ⋅ Anh Tuan Luu ⋅ Min Lin ⋅ Shuicheng Yan ⋅ Hanwang Zhang
Ze Wang ⋅ Seunghyun Hwang ⋅ Zichen Miao ⋅ Qiang Qiu
Desi R Ivanova ⋅ Adam Foster ⋅ Steven Kleinegesse ⋅ Michael Gutmann ⋅ Thomas Rainforth
Mathias Niepert ⋅ Pasquale Minervini ⋅ Luca Franceschi
Jiangyuan Li ⋅ Thanh Nguyen ⋅ Chinmay Hegde ⋅ Raymond K. W. Wong
Gal Dalal ⋅ Assaf Hallak ⋅ Steven Dalton ⋅ iuri frosio ⋅ Shie Mannor ⋅ Gal Chechik
Pascal Notin ⋅ José Miguel Hernández-Lobato ⋅ Yarin Gal
Aya Abdelsalam Ismail ⋅ Hector Corrada Bravo ⋅ Soheil Feizi
Hrayr Harutyunyan ⋅ Maxim Raginsky ⋅ Greg Ver Steeg ⋅ Aram Galstyan
Zijian Kang ⋅ Peizhen Zhang ⋅ Xiangyu Zhang ⋅ Jian Sun ⋅ Nanning Zheng
Francois Bachoc ⋅ Tom Cesari ⋅ Sébastien Gerchinovitz
Ning Xu ⋅ Congyu Qiao ⋅ Xin Geng ⋅ Min-Ling Zhang
Luyao Yuan ⋅ Dongruo Zhou ⋅ Junhong Shen ⋅ Jingdong Gao ⋅ Jeffrey L Chen ⋅ Quanquan Gu ⋅ Ying Nian Wu ⋅ Song-Chun Zhu
Wenwei Zhang ⋅ Jiangmiao Pang ⋅ Kai Chen ⋅ Chen Change Loy
Muhan Zhang ⋅ Pan Li ⋅ Yinglong Xia ⋅ Kai Wang ⋅ Long Jin
Yoon-Yeong Kim ⋅ Kyungwoo Song ⋅ JoonHo Jang ⋅ Il-chul Moon
Keji He ⋅ Yan Huang ⋅ Qi Wu ⋅ Jianhua Yang ⋅ Dong An ⋅ Shuanglin Sima ⋅ Liang Wang
Yiming Gao ⋅ Bei Shi ⋅ Xueying Du ⋅ Liang Wang ⋅ Guangwei Chen ⋅ Zhenjie Lian ⋅ Fuhao Qiu ⋅ GUOAN HAN ⋅ Weixuan Wang ⋅ Deheng Ye ⋅ Qiang Fu ⋅ Wei Yang ⋅ Lanxiao Huang
Xue Yang ⋅ Xiaojiang Yang ⋅ Jirui Yang ⋅ Qi Ming ⋅ Wentao Wang ⋅ Qi Tian ⋅ Junchi Yan
Magnus Ross ⋅ Michael T Smith ⋅ Mauricio Álvarez
Samuel Gruffaz ⋅ Pierre-Emmanuel Poulet ⋅ Etienne Maheux ⋅ Bruno Jedynak ⋅ Stanley DURRLEMAN
Ingmar Schubert ⋅ Danny Driess ⋅ Ozgur S. Oguz ⋅ Marc Toussaint
Zhenghao Peng ⋅ Quanyi Li ⋅ Ka Ming Hui ⋅ Chunxiao Liu ⋅ Bolei Zhou
Krishna kanth Nakka ⋅ Mathieu Salzmann
Zeng Yihan ⋅ Chunwei Wang ⋅ Yunbo Wang ⋅ Hang Xu ⋅ Chaoqiang Ye ⋅ Zhen Yang ⋅ Chao Ma
Futoshi Futami ⋅ Tomoharu Iwata ⋅ naonori ueda ⋅ Issei Sato ⋅ Masashi Sugiyama
Weirui Ye ⋅ Shaohuai Liu ⋅ Thanard Kurutach ⋅ Pieter Abbeel ⋅ Yang Gao
Jaeho Lee ⋅ Jihoon Tack ⋅ Namhoon Lee ⋅ Jinwoo Shin
Hyeonjin Park ⋅ Seunghun Lee ⋅ Sihyeon Kim ⋅ Jinyoung Park ⋅ Jisu Jeong ⋅ Kyung-Min Kim ⋅ Jung-Woo Ha ⋅ Hyunwoo Kim
Aixi Zhang ⋅ Yue Liao ⋅ Si Liu ⋅ Miao Lu ⋅ Yongliang Wang ⋅ Chen Gao ⋅ XIAOBO LI
Yan Liu ⋅ Zhijie Zhang ⋅ Li Niu ⋅ Junjie Chen ⋅ Liqing Zhang
Ilya Tolstikhin ⋅ Neil Houlsby ⋅ Alexander Kolesnikov ⋅ Lucas Beyer ⋅ Xiaohua Zhai ⋅ Thomas Unterthiner ⋅ Jessica Yung ⋅ Andreas Steiner ⋅ Daniel Keysers ⋅ Jakob Uszkoreit ⋅ Mario Lucic ⋅ Alexey Dosovitskiy
Paul-Ambroise Duquenne ⋅ Hongyu Gong ⋅ Holger Schwenk
HyeongJoo Hwang ⋅ Geon-Hyeong Kim ⋅ Seunghoon Hong ⋅ Kee-Eung Kim
Ta-Chu Kao ⋅ Kristopher Jensen ⋅ Gido van de Ven ⋅ Alberto Bernacchia ⋅ Guillaume Hennequin
Aymen Al Marjani ⋅ Aurélien Garivier ⋅ Alexandre Proutiere
Rishabh Agarwal ⋅ Levi Melnick ⋅ Nicholas Frosst ⋅ Xuezhou Zhang ⋅ Ben Lengerich ⋅ Rich Caruana ⋅ Geoffrey Hinton
Yanxi Li ⋅ Zhaohui Yang ⋅ Yunhe Wang ⋅ Chang Xu
Chenxu Hu ⋅ Qiao Tian ⋅ Tingle Li ⋅ Wang Yuping ⋅ Yuxuan Wang ⋅ Hang Zhao
Anirudh Goyal ⋅ Aniket Didolkar ⋅ Nan Rosemary Ke ⋅ Charles Blundell ⋅ Philippe Beaudoin ⋅ Nicolas Heess ⋅ Michael Mozer ⋅ Yoshua Bengio
Kaipeng Zhang ⋅ Zhenqiang Li ⋅ Zhifeng Li ⋅ Wei Liu ⋅ Yoichi Sato
Wentao Zhang ⋅ Mingyu Yang ⋅ Zeang Sheng ⋅ Yang Li ⋅ Wen Ouyang ⋅ Yangyu Tao ⋅ Zhi Yang ⋅ Bin CUI
Xingsi Dong ⋅ Tianhao Chu ⋅ Tiejun Huang ⋅ Zilong Ji ⋅ Si Wu
Yasunori Akagi ⋅ Naoki Marumo ⋅ Hideaki Kim ⋅ Takeshi Kurashima ⋅ Hiroyuki Toda
Quentin Mérigot ⋅ Filippo Santambrogio ⋅ Clément SARRAZIN
Xi Wang ⋅ Zhipeng Tu ⋅ Yiguang Hong ⋅ Yingyi Wu ⋅ Guodong Shi
Yulin Wang ⋅ Rui Huang ⋅ Shiji Song ⋅ Zeyi Huang ⋅ Gao Huang
Jongjin Park ⋅ Younggyo Seo ⋅ Chang Liu ⋅ Li Zhao ⋅ Tao Qin ⋅ Jinwoo Shin ⋅ Tie-Yan Liu
Jia-Heng Tang ⋅ Weikai Chen ⋅ jie Yang ⋅ Bo Wang ⋅ Songrun Liu ⋅ Bo Yang ⋅ Lin Gao
Jianhao Wang ⋅ Wenzhe Li ⋅ Haozhe Jiang ⋅ Guangxiang Zhu ⋅ Siyuan Li ⋅ Chongjie Zhang
Andrew Campbell ⋅ Yuyang Shi ⋅ Thomas Rainforth ⋅ Arnaud Doucet
Tianyi Chen ⋅ Bo Ji ⋅ Tianyu Ding ⋅ Biyi Fang ⋅ Guanyi Wang ⋅ Zhihui Zhu ⋅ Luming Liang ⋅ Yixin Shi ⋅ Sheng Yi ⋅ Xiao Tu
Eduard Oravkin ⋅ Patrick Rebeschini
Andi Han ⋅ Bamdev Mishra ⋅ Pratik Kumar Jawanpuria ⋅ Junbin Gao
Khang Le ⋅ Huy Nguyen ⋅ Quang M Nguyen ⋅ Tung Pham ⋅ Hung Bui ⋅ Nhat Ho
Xiaoyu Wang ⋅ Sindri Magnússon ⋅ Mikael Johansson
Quoc Phong Nguyen ⋅ Zhongxiang Dai ⋅ Bryan Kian Hsiang Low ⋅ Patrick Jaillet
Chen Zhang ⋅ Shifeng Zhang ⋅ Fabio Maria Carlucci ⋅ Zhenguo Li
Sofiene Jerbi ⋅ Casper Gyurik ⋅ Simon Marshall ⋅ Hans Briegel ⋅ Vedran Dunjko
fangrui lv ⋅ Jian Liang ⋅ Kaixiong Gong ⋅ Shuang Li ⋅ Chi Harold Liu ⋅ Han Li ⋅ Di Liu ⋅ Guoren Wang
Niv Giladi ⋅ Zvika Ben-Haim ⋅ Sella Nevo ⋅ Yossi Matias ⋅ Daniel Soudry
Christian Henning ⋅ Maria Cervera ⋅ Francesco D'Angelo ⋅ Johannes von Oswald ⋅ Regina Traber ⋅ Benjamin Ehret ⋅ Seijin Kobayashi ⋅ Benjamin F. Grewe ⋅ João Sacramento
Zhenhua Liu ⋅ Yunhe Wang ⋅ Kai Han ⋅ Wei Zhang ⋅ Siwei Ma ⋅ Wen Gao
Shitong Luo ⋅ Chence Shi ⋅ Minkai Xu ⋅ Jian Tang
qizhou wang ⋅ Feng Liu ⋅ Bo Han ⋅ Tongliang Liu ⋅ Chen Gong ⋅ Gang Niu ⋅ Mingyuan Zhou ⋅ Masashi Sugiyama
Lei Ke ⋅ Xia Li ⋅ Martin Danelljan ⋅ Yu-Wing Tai ⋅ Chi-Keung Tang ⋅ Fisher Yu
Jeff Z. HaoChen ⋅ Colin Wei ⋅ Adrien Gaidon ⋅ Tengyu Ma
Lijun Ding ⋅ Liwei Jiang ⋅ Yudong Chen ⋅ Qing Qu ⋅ Zhihui Zhu
Zhixin Zhou ⋅ Fan Zhou ⋅ Ping Li ⋅ Cun-Hui Zhang
XINYANG JIANG ⋅ LU LIU ⋅ Caihua Shan ⋅ Yifei Shen ⋅ Xuanyi Dong ⋅ Dongsheng Li
Ling Pan ⋅ Tabish Rashid ⋅ Bei Peng ⋅ Longbo Huang ⋅ Shimon Whiteson
Yuhang Zhang ⋅ Chengrui Wang ⋅ Weihong Deng
Thijs Vogels ⋅ Lie He ⋅ Anastasiia Koloskova ⋅ Sai Praneeth Karimireddy ⋅ Tao Lin ⋅ Sebastian Stich ⋅ Martin Jaggi
Chongjian GE ⋅ Youwei Liang ⋅ YIBING SONG ⋅ Jianbo Jiao ⋅ Jue Wang ⋅ Ping Luo
Wentao Zhang ⋅ Yexin Wang ⋅ Zhenbang You ⋅ Meng Cao ⋅ Ping Huang ⋅ Jiulong Shan ⋅ Zhi Yang ⋅ Bin CUI
Garrett Thomas ⋅ Yuping Luo ⋅ Tengyu Ma
Ziming Zhang ⋅ Yun Yue ⋅ Guojun Wu ⋅ Yanhua Li ⋅ Haichong Zhang
Tao Chenxin ⋅ Zizhang Li ⋅ Xizhou Zhu ⋅ Gao Huang ⋅ Yong Liu ⋅ jifeng dai
Aston Zhang ⋅ Yi Tay ⋅ Yikang Shen ⋅ Alvin Chan ⋅ SHUAI ZHANG
Liang Hou ⋅ Huawei Shen ⋅ Qi Cao ⋅ Xueqi Cheng
Konpat Preechakul ⋅ Chawan Piansaddhayanon ⋅ Burin Naowarat ⋅ Tirasan Khandhawit ⋅ Sira Sriswasdi ⋅ Ekapol Chuangsuwanich
Kimon Antonakopoulos ⋅ Thomas Pethick ⋅ Ali Kavis ⋅ Panayotis Mertikopoulos ⋅ Volkan Cevher
Qi Chen ⋅ Bing Zhao ⋅ Haidong Wang ⋅ Mingqin Li ⋅ Chuanjie Liu ⋅ Zengzhong Li ⋅ Mao Yang ⋅ Jingdong Wang
Shengjie Luo ⋅ Shanda Li ⋅ Tianle Cai ⋅ Di He ⋅ Dinglan Peng ⋅ Shuxin Zheng ⋅ Guolin Ke ⋅ Liwei Wang ⋅ Tie-Yan Liu
Zhi Zhou ⋅ Lan-Zhe Guo ⋅ Zhanzhan Cheng ⋅ Yu-Feng Li ⋅ Shiliang Pu
Son Nguyen ⋅ Duong Nguyen ⋅ Khai Nguyen ⋅ Khoat Than ⋅ Hung Bui ⋅ Nhat Ho
Minchao Wu ⋅ Michael Norrish ⋅ Christian Walder ⋅ Amir Dezfouli
Deli Chen ⋅ Yankai Lin ⋅ Guangxiang Zhao ⋅ Xuancheng Ren ⋅ Peng Li ⋅ Jie Zhou ⋅ Xu Sun
Minjing Dong ⋅ Yunhe Wang ⋅ Xinghao Chen ⋅ Chang Xu
Jianhao Wang ⋅ Zhizhou Ren ⋅ Beining Han ⋅ Jianing Ye ⋅ Chongjie Zhang
Jathushan Rajasegaran ⋅ Georgios Pavlakos ⋅ Angjoo Kanazawa ⋅ Jitendra Malik
Mikkel Abrahamsen ⋅ Linda Kleist ⋅ Tillmann Miltzow
Kai Han ⋅ An Xiao ⋅ Enhua Wu ⋅ Jianyuan Guo ⋅ Chunjing XU ⋅ Yunhe Wang
Jack Parker-Holder ⋅ Vu Nguyen ⋅ Shaan Desai ⋅ Stephen J Roberts
Christopher Gagne ⋅ Peter Dayan
Zhu Zhang ⋅ Jianxin Ma ⋅ Chang Zhou ⋅ Rui Men ⋅ Zhikang Li ⋅ Ming Ding ⋅ Jie Tang ⋅ Jingren Zhou ⋅ Hongxia Yang
Laetitia Chapel ⋅ Rémi Flamary ⋅ Haoran Wu ⋅ Cédric Févotte ⋅ Gilles Gasso
man zhou ⋅ Xueyang Fu ⋅ Zeyu Xiao ⋅ Gang Yang ⋅ Aiping Liu ⋅ Zhiwei Xiong
Zhuo Huang ⋅ Chao Xue ⋅ Bo Han ⋅ Jian Yang ⋅ Chen Gong
Yifan Zhang ⋅ Bryan Hooi ⋅ Dapeng Hu ⋅ Jian Liang ⋅ Jiashi Feng
Lukas Köhs ⋅ Bastian Alt ⋅ Heinz Koeppl
Sang-Hoon Lee ⋅ Ji-Hoon Kim ⋅ Hyunseung Chung ⋅ Seong-Whan Lee
Junjie Chen ⋅ Li Niu ⋅ Liu Liu ⋅ Liqing Zhang
Manu Orsini ⋅ Anton Raichuk ⋅ Leonard Hussenot ⋅ Damien Vincent ⋅ Robert Dadashi ⋅ Sertan Girgin ⋅ Matthieu Geist ⋅ Olivier Bachem ⋅ Olivier Pietquin ⋅ Marcin Andrychowicz
Daniella Horan ⋅ Eitan Richardson ⋅ Yair Weiss
Benyou Wang ⋅ Emanuele Di Buccio ⋅ Massimo Melucci
Yuxin Fang ⋅ Bencheng Liao ⋅ Xinggang Wang ⋅ Jiemin Fang ⋅ Jiyang Qi ⋅ Rui Wu ⋅ Jianwei Niu ⋅ Wenyu Liu
Go to Event Page
Competition

Competition Track Day 2: Overviews + Breakout Sessions

Douwe Kiela ⋅ Marco Ciccone ⋅ Barbara Caputo
2:00 AM - 6:44 AM

The program includes a wide variety of exciting competitions in different domains, with some focusing more on applications and others trying to unify fields, focusing on technical challenges or directly tackling important problems in the world. The aim is for the broad program to make it so that anyone who wants to work on or learn from a competition can find something to their liking.

In this session, we have the following competitions:
* Learning By Doing: Controlling a Dynamical System using Control Theory, Reinforcement Learning, or Causality
* Reconnaissance Blind Chess
* Real Robot Challenge II
* The Billion-Scale Approximate Nearest Neighbor Search Challenge
* MetaDL: Few Shot Learning Competition with Novel Datasets from Practical Domains

... more
Social

Shine in Your Technical Presentation

Armina Stepan ⋅ Tijmen Blankevoort
3:00 AM - 5:00 AM

Our presentations are most likely the highest impact activities we have as researchers. They are often quite dense. In those 10 minutes in your conference oral, you have the chance to show your work to a large audience for world-wide recognition. This is both incredibly stressful and difficult to do. The months of research that you've done, with all the ideas and all the results, have to be jam packed in a short time interval, and your audience is tired of the long conference and the information hoses they are drinking from. How do you make the most out of your presentation? How do you make sure that people understand your work, get excited by it, and remember you in the future?

In the first part of the session we will cover:
- How to structure your presentation and storytelling
- Captivating your audience and making them remember you
- Guiding your audience through tough and difficult to parse material
- Dynamic and easy to follow slide creation
- Preparation for the big moment
- Frequent mistakes and the psychology of insecurity.

In the second part you are invited to bring your own presentations, which will be discussed in a small group. Don’t worry about getting it right, we’re all here to learn. Your teacher for the session will be Tijmen Blankevoort, Senior Staff Manager of Engineering at Qualcomm Technologies Netherlands. A public speaker with over 7 years of experience, recurring radio and podcast guest, former founder of a successful AI start-up, and research team-lead in Qualcomm working on model efficiency.

... more
Panel

The Role of Benchmarks in the Scientific Progress of Machine Learning

Lora Aroyo ⋅ Samuel Bowman ⋅ Isabelle Guyon ⋅ Joaquin Vanschoren
7:00 AM - 8:00 AM

Benchmark datasets have played a crucial role in driving empirical progress in machine learning, leading to an interesting dynamic between those on a quest for state-of-the-art performance and those creating new challenging benchmarks. In this panel, we reflect on how benchmarks can lead to scientific progress, both in terms of new algorithmic innovations and improved scientific understanding. First, what qualities of a machine learning system should a good benchmark dataset seek to measure? How well can benchmarks assess performance in dynamic and novel environments, or in tasks with an open-ended set of acceptable answers? Benchmarks can also raise significant ethical concerns including poor data collection practices, under- and misrepresentation of subjects, as well as misspecification of objectives. Second, even given high-quality, carefully constructed benchmarks, which research questions can we hope to answer from leaderboard-climbing, and which ones are deprioritized or impossible to answer due to the limitations of the benchmark paradigm? In general, we hope to deepen the community’s awareness of the important role of benchmarks for advancing the science of machine learning.

... more
Datasets and Benchmarks

Dataset and Benchmark Track 2

Joaquin Vanschoren ⋅ Serena Yeung-Levy
8:00 AM - 9:00 AM

The Datasets and Benchmarks track serves as a novel venue for high-quality publications, talks, and posters on highly valuable machine learning datasets and benchmarks, as well as a forum for discussions on how to improve dataset development. Datasets and benchmarks are crucial for the development of machine learning methods, but also require their own publishing and reviewing guidelines. For instance, datasets can often not be reviewed in a double-blind fashion, and hence full anonymization will not be required. On the other hand, they do require additional specific checks, such as a proper description of how the data was collected, whether they show intrinsic bias, and whether they will remain accessible.

... more
Oral
6 Events in this session
Robert Geirhos ⋅ Kantharaju Narayanappa ⋅ Benjamin Mitzkus ⋅ Tizian Thieringer ⋅ Matthias Bethge ⋅ Felix A. Wichmann ⋅ Wieland Brendel
Q&A
Mandela Patrick ⋅ Dylan Campbell ⋅ Yuki Asano ⋅ Ishan Misra ⋅ Florian Metze ⋅ Christoph Feichtenhofer ⋅ Andrea Vedaldi ⋅ João Henriques
Q&A
Lior Yariv ⋅ Jiatao Gu ⋅ Yoni Kasten ⋅ Yaron Lipman
Q&A
Go to Event Page
Oral
8:00 AM - 9:00 AM
6 Events in this session
Q&A
Tengyang Xie ⋅ Ching-An Cheng ⋅ Nan Jiang ⋅ Paul Mineiro ⋅ Alekh Agarwal
Q&A
Antonio Vergari ⋅ YooJung Choi ⋅ Anji Liu ⋅ Stefano Teso ⋅ Guy Van den Broeck
Q&A
Go to Event Page
Oral
8:00 AM - 9:00 AM
6 Events in this session
Alexei Baevski ⋅ Wei-Ning Hsu ⋅ Alexis CONNEAU ⋅ Michael Auli
Q&A
Rishabh Agarwal ⋅ Max Schwarzer ⋅ Pablo Samuel Castro ⋅ Aaron Courville ⋅ Marc Bellemare
Q&A
Jeff Z. HaoChen ⋅ Colin Wei ⋅ Adrien Gaidon ⋅ Tengyu Ma
Q&A
Go to Event Page
Oral
8:00 AM - 9:00 AM
6 Events in this session
Mathieu Even ⋅ Raphaël Berthier ⋅ Francis Bach ⋅ Nicolas Flammarion ⋅ Hadrien Hendrikx ⋅ Pierre Gaillard ⋅ Laurent Massoulié ⋅ Adrien Taylor
Q&A
Q&A
Michael Dinitz ⋅ Sungjin Im ⋅ Thomas Lavastida ⋅ Benjamin Moseley ⋅ Sergei Vassilvitskii
Q&A
Go to Event Page
Demonstration

Demonstrations 2

Douwe Kiela ⋅ Barbara Caputo ⋅ Marco Ciccone
8:30 AM - 9:50 AM

Demonstrations must show novel technology and must run online during the conference. Unlike poster presentations or slide shows, interaction with the audience is a critical element. Therefore, the creativity of demonstrators to propose new ways in which interaction and engagement can fully leverage this year’s virtual conference format will be particularly relevant for selection. This session has the following demonstrations:

  • Automated Evaluation of GNN Explanations with Neuro Symbolic Reasoning
  • AIMEE: Interactive model maintenance with rule-based surrogates
  • AME: Interpretable Almost Exact Matching for Causal Inference
  • Exploring Conceptual Soundness with TruLens
  • An Interactive Tool for Computation with Assemblies of Neurons
... more
Town Hall
9:00 AM - 10:00 AM

The Town Hall meeting is an opportunity to connect and to learn about how this year's conference was organized. It is also a place where you can ask questions and provide feedback to the NeurIPS organizers and Board. We encourage you to submit questions in advance via townhall@neurips.cc. This event is open to all registered attendees of NeurIPS 2021.

... more
Social

Lapsed Physicists Wine-and-Cheese

Jennifer Hobbs ⋅ Sujoy Ganguly
10:00 AM - 12:00 PM

Lapsed" (aka. Former) Physicists are plentiful in the machine learning community. Inspired by Wine and Cheese seminars at many institutions, this BYOWC (Bring Your Own Wine and Cheese) event is an informal opportunity to connect with members of the community.
Hear how others made the transition between fields. Discuss how your physics training prepared you to switch fields or what synergies between physics and machine learning excite you the most. Share your favorite physics jokes your computer science colleagues don't get, and just meet other cool people. Open to everyone, not only physicists; you'll just have to tolerate our humor. Wine and Cheese encouraged, but not required.

... more
Social

BigScience

Suzana Ilić
10:00 AM - 1:00 PM

BigScience is a one-year long research workshop on large multilingual datasets and large language models. It fosters discussions and reflections around the research questions surrounding large language models (capabilities, limitations, potential improvements, bias, ethics, environmental impact) as well as the challenges around creating and sharing such models and datasets for research purposes and among the research community. For the NeurIPS 2021 BigSience Social we are looking forward to:

Technical talks and paper presentations by BigScience working group chairs Invited talks & interdisciplinary discussions on large language models A carbon footprint tutorial A social space for open discussions

... more
Social

Space & ML

Jodie Hughes
10:00 AM - 11:30 AM

METI ‘MEET’ WITH FDL 

FDL will be hosting an official NeurIPS social: METI ’Meet’ (Messaging Extraterrestrial Intelligence) with Google Cloud, Intel and the SETI Institute. Learn about METI and make and decode messages from competing ‘alien’ planets and (of course) win cool Intel prizes.

 “Where is everybody?” This official NeurIPS social will be a chance to connect with other folks in the rarified space / ML / alien-hunting Venn diagram. You’ll be working together with other aliens to communicate key variables about your home planet and then transmit them into the cosmos (um, via Zoom) for other planetary beings to decrypt! The team that decrypts the most alien messages, wins - and the team that is the most decrypted also wins (assuming no galactic domination intent.) Meet us at NeurIPS on Dec 8th at 10 am PT / 1pm ET / 6pm GMT

This will be an excellent opportunity to convene a community around ML application for space exploration, planetary stewardship of Earth and opportunities for ML in science.

We hope you are able to join us for what will be an inspirational and enjoyable event.

... more
Affinity Event

Queer in AI Workshop 2

Claas Voelcker ⋅ Arjun Subramonian ⋅ Vishakha Agrawal ⋅ Luca Soldaini ⋅ Pan Xu ⋅ Pranav A ⋅ William Agnew ⋅ Juan Pajaro Velasquez ⋅ Yanan Long ⋅ Sharvani Jha ⋅ Ashwin Singh ⋅ Mary Anne Smart ⋅ Patrick Feeney ⋅ Ruchira Ray
10:30 AM - 1:30 PM

Queer in AI’s demographic survey reveals that most queer scientists in our community do not feel completely welcome in conferences and their work environments, with the main reasons being a lack of queer community and role models. Over the past years, Queer in AI has worked towards these goals, yet we have observed that the voices of marginalized queer communities - especially transgender, non-binary folks and queer BIPOC folks - have been neglected. The purpose of this workshop is to highlight issues that these communities face by featuring talks and panel discussions on the inclusion of neuro-diverse people in our communities, the intersection of queer and animal rights, as well as worker rights issues around the world.

The main topics of the workshop will revolve around:
- the intersection of AI, queer identity and neurodiversity
- queer identity and labor rights and organization
- AI and animal rights
- queer identity and caste-based discrimination

Additionally, at Queer in AI’s socials at NeurIPS 2021, we will focus on creating a safe and inclusive casual networking and socializing space for LGBTQIA+ individuals involved with AI. There will also be additional social events, stay tuned for more details coming soon. Together, these components will create a community space where attendees can learn and grow from connecting with each other, bonding over shared experiences, and learning from each individual’s unique insights into AI, queerness, and beyond!

... more
Affinity Event

Indigenous in AI Workshop

Mason Grimshaw ⋅ Michael Running Wolf ⋅ Patrick Feeney
11:00 AM - 2:30 PM

With increasing interest in working with Indigenous Communities on data-related projects, Indigenous in AI brings a discussion around data ethics and Indigenous data sovereignty. Hear from Indigenous AI practitioners as they share their ideas and work towards a more equitable data future for Indigenous peoples.

... more
Social
12:00 PM - 2:00 PM

Given the many disciplines that encompass ML, it is important that we as researchers better understand academics with differing backgrounds than our own to produce valued contributions.

In this 2-hour social, we pair participants together based on differing levels of experience in related disciplines of ML. These pairings would be determined by a confidential online form. For example, suppose Researcher A identifies as being highly experienced in Reinforcement Learning but has little to no experience in Neuroscience. Researcher A could then be paired with Researcher B, who has a great background in Neuroscience but has had no exposure to Reinforcement Learning. This cycle could repeat every 10 minutes so that every participant can meet a diverse set of researchers across a multitude of disciplines.

To help guide the discussions in these breakout sessions, they will be provided a script of suggested, generic questions to help bridge the gaps of understanding between their fields of expertise. These questions will cover more formal topics such as finding similarity between their fields of study. Some suggested questions may encompass less formal topics such as which leisure activities are commonly pursued by groups of specific disciplines. Participants are encouraged to document these similarities from session to session.

The final activity will include round-table discussions of researchers who have similar backgrounds. These discussions will allow researchers to share what they found to be similar in groups different than their own. This round-table group will be tasked to produce a graph that connects various aspects from field to field. These graphs can then be shared via social media or other platforms for the rest of the conference to view.

These interactions could allow us to form better connections across disciplines and build a better internal knowledge graph of the vast landscape of ML.

... more
Invited Talk

Benign Overfitting

Peter Bartlett
3:00 PM - 4:30 PM

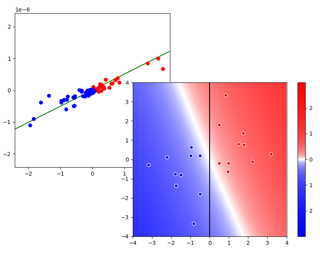
Deep learning has revealed some major surprises from the perspective of statistical complexity: even without any explicit effort to control model complexity, these methods find prediction rules that give a near-perfect fit to noisy training data and yet exhibit excellent prediction performance in practice. This talk surveys work on methods that predict accurately in probabilistic settings despite fitting too well to training data. We present a characterization of linear regression problems for which the minimum norm interpolating prediction rule has near-optimal prediction accuracy. The characterization shows that overparameterization is essential for benign overfitting in this setting: the number of directions in parameter space that are unimportant for prediction must significantly exceed the sample size. We discuss implications for robustness to adversarial examples, and we describe extensions to ridge regression and barriers to analyzing benign overfitting via model-dependent generalization bounds.

... more
Speaker Bio
Peter Bartlett
Peter Bartlett is professor of Computer Science and Statistics at the University of California at Berkeley, Associate Director of the Simons Institute for the Theory of Computing, and Director of the Foundations of Data Science Institute. He has previously held positions at the Queensland University of Technology, the Australian National University and the University of Queensland. His research interests include machine learning and statistical learning theory, and he is the co-author of the book Neural Network Learning: Theoretical Foundations. He has been Institute of Mathematical Statistics Medallion Lecturer, winner of the Malcolm McIntosh Prize for Physical Scientist of the Year, and Australian Laureate Fellow, and he is a Fellow of the IMS, Fellow of the ACM, and Fellow of the Australian Academy of Science.
... more
Poster
4:30 PM - 6:00 PM
215 Events in this session
Mingde Zhao ⋅ Zhen Liu ⋅ Sitao Luan ⋅ Shuyuan Zhang ⋅ Doina Precup ⋅ Yoshua Bengio
Pranjal Awasthi ⋅ Abhimanyu Das ⋅ Sreenivas Gollapudi
Jingkang Wang ⋅ Tianyun Zhang ⋅ Sijia Liu ⋅ Pin-Yu Chen ⋅ Jiacen Xu ⋅ Makan Fardad ⋅ Bo Li
Gugan Chandrashekhar Thoppe ⋅ Bhumesh Kumar
Paria Rashidinejad ⋅ Banghua Zhu ⋅ Cong Ma ⋅ Jiantao Jiao ⋅ Stuart Russell
Yang Sui ⋅ Miao Yin ⋅ Yi Xie ⋅ Huy Phan ⋅ Saman Aliari Zonouz ⋅ Bo Yuan
Kaiwen Yang ⋅ Tianyi Zhou ⋅ Yonggang Zhang ⋅ Xinmei Tian ⋅ Dacheng Tao
Shuang Ao ⋅ Tianyi Zhou ⋅ Guodong Long ⋅ Qinghua Lu ⋅ Liming Zhu ⋅ Jing Jiang
Jamie Kang ⋅ Faidra Monachou ⋅ Moran Koren ⋅ Itai Ashlagi
Matthew Fontaine ⋅ Stefanos Nikolaidis
Xuefei Ning ⋅ Changcheng Tang ⋅ Wenshuo Li ⋅ Zixuan Zhou ⋅ Shuang Liang ⋅ Huazhong Yang ⋅ Yu Wang
Xiaofeng Fan ⋅ Yining Ma ⋅ Zhongxiang Dai ⋅ Wei Jing ⋅ Cheston Tan ⋅ Bryan Kian Hsiang Low
Sangjoon Park ⋅ Gwanghyun Kim ⋅ Jeongsol Kim ⋅ Boah Kim ⋅ Jong Chul Ye
Xiaorui Liu ⋅ Jiayuan Ding ⋅ Wei Jin ⋅ Han Xu ⋅ Yao Ma ⋅ Zitao Liu ⋅ Jiliang Tang
Vanessa D'Amario ⋅ Tomotake Sasaki ⋅ Xavier Boix
Lin Chen ⋅ Yifei Min ⋅ Mikhail Belkin ⋅ Amin Karbasi
Shen Yan ⋅ Colin White ⋅ Yash Savani ⋅ Frank Hutter
Zhilei Wang ⋅ Pranjal Awasthi ⋅ Christoph Dann ⋅ Ayush Sekhari ⋅ Claudio Gentile
Zhaocheng Zhu ⋅ Zuobai Zhang ⋅ Louis-Pascal Xhonneux ⋅ Jian Tang
Jan Drgona ⋅ Sayak Mukherjee ⋅ Jiaxin Zhang ⋅ Frank Liu ⋅ Mahantesh Halappanavar
Nived Rajaraman ⋅ Yanjun Han ⋅ Lin Yang ⋅ Jingbo Liu ⋅ Jiantao Jiao ⋅ Kannan Ramchandran
Wanyun Cui ⋅ Xingran Chen
Masahiro Nakano ⋅ Yasuhiro Fujiwara ⋅ Akisato Kimura ⋅ Takeshi Yamada ⋅ naonori ueda
Yixin Wang ⋅ David Blei ⋅ John Cunningham
Matteo Papini ⋅ Andrea Tirinzoni ⋅ Aldo Pacchiano ⋅ Marcello Restelli ⋅ Alessandro Lazaric ⋅ Matteo Pirotta
Chunjong Park ⋅ Anas Awadalla ⋅ Tadayoshi Kohno ⋅ Shwetak Patel
Kuan-Lin Chen ⋅ Ching-Hua Lee ⋅ Harinath Garudadri ⋅ Bhaskar D Rao
Ruichu Cai ⋅ Jinjie Yuan ⋅ Boyan Xu ⋅ Zhifeng Hao
Amir Zandieh ⋅ Insu Han ⋅ Haim Avron ⋅ Neta Shoham ⋅ Chaewon Kim ⋅ Jinwoo Shin
Devendra Singh Chaplot ⋅ Murtaza Dalal ⋅ Saurabh Gupta ⋅ Jitendra Malik ⋅ Russ Salakhutdinov
Shun Lu ⋅ Jixiang Li ⋅ Jianchao Tan ⋅ Sen Yang ⋅ Ji Liu
Songzhu Zheng ⋅ Yikai Zhang ⋅ Hubert Wagner ⋅ Mayank Goswami ⋅ Chao Chen
Gaurang Sriramanan ⋅ Sravanti Addepalli ⋅ Arya Baburaj ⋅ Venkatesh Babu R
Mingqing Xiao ⋅ Qingyan Meng ⋅ Zongpeng Zhang ⋅ Yisen Wang ⋅ Zhouchen Lin
Zhuchen Shao ⋅ Hao Bian ⋅ Yang Chen ⋅ Yifeng Wang ⋅ Jian Zhang ⋅ Xiangyang Ji ⋅ yongbing zhang
Yifei Min ⋅ Tianhao Wang ⋅ Dongruo Zhou ⋅ Quanquan Gu
Edward Smith ⋅ David Meger ⋅ Luis Pineda ⋅ Roberto Calandra ⋅ Jitendra Malik ⋅ Adriana Romero Soriano ⋅ Michal Drozdzal
Alan Amin ⋅ Eli N Weinstein ⋅ Debora Marks
Zhihui Zhu ⋅ Tianyu Ding ⋅ Jinxin Zhou ⋅ Xiao Li ⋅ Chong You ⋅ Jeremias Sulam ⋅ Qing Qu
Ayush Sekhari ⋅ Christoph Dann ⋅ Mehryar Mohri ⋅ Yishay Mansour ⋅ Karthik Sridharan
Brian Bullins ⋅ Kshitij Patel ⋅ Ohad Shamir ⋅ Nathan Srebro ⋅ Blake Woodworth
Kai Yan ⋅ Jie Yan ⋅ Chuan Luo ⋅ Liting Chen ⋅ Qingwei Lin ⋅ Dongmei Zhang
Duligur Ibeling ⋅ Thomas Icard
Erik Thiede ⋅ Wenda Zhou ⋅ Risi Kondor
Chin-Wei Huang ⋅ Jae Hyun Lim ⋅ Aaron Courville
Aurick Zhou ⋅ Sergey Levine
Raul Astudillo ⋅ Peter Frazier
Shengju Qian ⋅ Hao Shao ⋅ Yi Zhu ⋅ Mu Li ⋅ Jiaya Jia
Robert Lunde ⋅ Purnamrita Sarkar ⋅ Rachel Ward
Lingke Kong ⋅ Chenyu Lian ⋅ Detian Huang ⋅ zhenjiang li ⋅ Yanle Hu ⋅ Qichao Zhou
Gen Li ⋅ Laixi Shi ⋅ Yuxin Chen ⋅ Yuantao Gu ⋅ Yuejie Chi
Shengjia Zhao ⋅ Michael Kim ⋅ Roshni Sahoo ⋅ Tengyu Ma ⋅ Stefano Ermon
Arwa Alanqary ⋅ Abdullah Alomar ⋅ Devavrat Shah
Jeff Pool ⋅ Chong Yu
Aditi Krishnapriyan ⋅ Amir Gholami ⋅ Shandian Zhe ⋅ Robert Kirby ⋅ Michael Mahoney
Tianlong Chen ⋅ Yu Cheng ⋅ Zhe Gan ⋅ Lu Yuan ⋅ Lei Zhang ⋅ Zhangyang Wang
Fei Zhu ⋅ Zhen Cheng ⋅ Xu-yao Zhang ⋅ Cheng-lin Liu
Marcin Tomczak ⋅ Siddharth Swaroop ⋅ Andrew Foong ⋅ Richard Turner
Haochuan Li ⋅ Yi Tian ⋅ Jingzhao Zhang ⋅ Ali Jadbabaie
Zhanqiu Zhang ⋅ Jie Wang ⋅ Jiajun Chen ⋅ Shuiwang Ji ⋅ Feng Wu
Oleksiy Ostapenko ⋅ Pau Rodriguez ⋅ Massimo Caccia ⋅ Laurent Charlin
Rasool Fakoor ⋅ Jonas Mueller ⋅ Kavosh Asadi ⋅ Pratik Chaudhari ⋅ Alexander Smola
Sachin Kumar ⋅ Eric Malmi ⋅ Aliaksei Severyn ⋅ Yulia Tsvetkov
Tung Mai ⋅ Cameron Musco ⋅ Anup Rao
Yifang Chen ⋅ Simon Du ⋅ Kevin Jamieson
Zhe Dong ⋅ Andriy Mnih ⋅ George Tucker
Tianlong Chen ⋅ Yu Cheng ⋅ Zhe Gan ⋅ Jingjing Liu ⋅ Zhangyang Wang
Qixian Zhong ⋅ Jonas Mueller ⋅ Jane-Ling Wang
Idan Kligvasser ⋅ Tamar Shaham ⋅ Yuval Bahat ⋅ Tomer Michaeli
Brandon Jacques ⋅ Zoran Tiganj ⋅ Marc Howard ⋅ Per B Sederberg
Tim Dockhorn ⋅ Yaoliang Yu ⋅ Eyyüb Sari ⋅ Mahdi Zolnouri ⋅ Vahid Partovi Nia
Jiefeng Chen ⋅ Frederick Liu ⋅ Besim Avci ⋅ Xi Wu ⋅ Yingyu Liang ⋅ Somesh Jha
Prafulla Dhariwal ⋅ Alexander Nichol
Liang Yang ⋅ Mengzhe Li ⋅ Liyang Liu ⋅ bingxin niu ⋅ Chuan Wang ⋅ Xiaochun Cao ⋅ Yuanfang Guo
Zhiyi Ma ⋅ Kawin Ethayarajh ⋅ Tristan Thrush ⋅ Somya Jain ⋅ Ledell Wu ⋅ Robin Jia ⋅ Christopher Potts ⋅ Adina Williams ⋅ Douwe Kiela
Guang Zhao ⋅ Edward Dougherty ⋅ Byung-Jun Yoon ⋅ Francis Alexander ⋅ Xiaoning Qian
Mycal Tucker ⋅ Huao Li ⋅ Siddharth Agrawal ⋅ Dana Hughes ⋅ Katia Sycara ⋅ Michael Lewis ⋅ Julie A Shah
Chenlin Meng ⋅ Yang Song ⋅ Wenzhe Li ⋅ Stefano Ermon
Phil Chen ⋅ Masha Itkina ⋅ Ransalu Senanayake ⋅ Mykel J Kochenderfer
Jinming Cui ⋅ Chaochao Chen ⋅ Lingjuan Lyu ⋅ Carl Yang ⋅ Wang Li
Xinran Gu ⋅ Kaixuan Huang ⋅ Jingzhao Zhang ⋅ Longbo Huang
Sarkhan Badirli ⋅ Zeynep Akata ⋅ George Mohler ⋅ Christine Picard ⋅ Mehmet M Dundar
Sheng Zhang ⋅ Zhe Zhang ⋅ Siva Theja Maguluri
Martin Klissarov ⋅ Doina Precup
Jingwei Sun ⋅ Ang Li ⋅ Louis DiValentin ⋅ Amin Hassanzadeh ⋅ Yiran Chen ⋅ Hai Li
Jianwei Yang ⋅ Chunyuan Li ⋅ Pengchuan Zhang ⋅ Xiyang Dai ⋅ Bin Xiao ⋅ Lu Yuan ⋅ Jianfeng Gao
Ilias Diakonikolas ⋅ Daniel Kane ⋅ Christos Tzamos
Lingshen He ⋅ Yiming Dong ⋅ Yisen Wang ⋅ Dacheng Tao ⋅ Zhouchen Lin
Jordan Ash ⋅ Surbhi Goel ⋅ Akshay Krishnamurthy ⋅ Sham Kakade
Xisen Jin ⋅ Arka Sadhu ⋅ Junyi Du ⋅ Xiang Ren
Kaifeng Lyu ⋅ Zhiyuan Li ⋅ Runzhe Wang ⋅ Sanjeev Arora
Jingling Li ⋅ Mozhi Zhang ⋅ Keyulu Xu ⋅ John Dickerson ⋅ Jimmy Ba
YUHUI YUAN ⋅ Rao Fu ⋅ Lang Huang ⋅ Weihong Lin ⋅ Chao Zhang ⋅ Xilin Chen ⋅ Jingdong Wang
Xiaohan Chen ⋅ Jialin Liu ⋅ Zhangyang Wang ⋅ Wotao Yin
Liyu Chen ⋅ Mehdi Jafarnia-Jahromi ⋅ Rahul Jain ⋅ Haipeng Luo
Yiming Li ⋅ Shunli Ren ⋅ Pengxiang Wu ⋅ Siheng Chen ⋅ Chen Feng ⋅ Wenjun Zhang
Dae Young Park ⋅ Moon-Hyun Cha ⋅ changwook jeong ⋅ Daesin Kim ⋅ Bohyung Han
Ashwinkumar Ganesan ⋅ Hang Gao ⋅ Sunil Gandhi ⋅ Edward Raff ⋅ Tim Oates ⋅ James Holt ⋅ Mark McLean
Divyansh Jhunjhunwala ⋅ Ankur Mallick ⋅ Advait Gadhikar ⋅ Swanand Kadhe ⋅ Gauri Joshi
Jiefeng Li ⋅ Tong Chen ⋅ Ruiqi Shi ⋅ Yujing Lou ⋅ Yong-Lu Li ⋅ Cewu Lu
Bernd Illing ⋅ Jean Ventura ⋅ Guillaume Bellec ⋅ Wulfram Gerstner
Reuben Tan ⋅ Bryan Plummer ⋅ Kate Saenko ⋅ Hailin Jin ⋅ Bryan Russell
Richard Antonello ⋅ Javier Turek ⋅ Vy Vo ⋅ Alexander Huth
I Shumailov ⋅ Zakhar Shumaylov ⋅ Dmitry Kazhdan ⋅ Yiren Zhao ⋅ Nicolas Papernot ⋅ Murat Erdogdu ⋅ Ross J Anderson
Yang Song ⋅ Conor Durkan ⋅ Iain Murray ⋅ Stefano Ermon
Rahul Kidambi ⋅ Jonathan Chang ⋅ Wen Sun
Hao Xue ⋅ Flora Salim ⋅ Yongli Ren ⋅ Nuria Oliver
Zhaowen Li ⋅ Zhiyang Chen ⋅ Fan Yang ⋅ Wei Li ⋅ Yousong Zhu ⋅ Chaoyang Zhao ⋅ Rui Deng ⋅ Liwei Wu ⋅ Rui Zhao ⋅ Ming Tang ⋅ Jinqiao Wang
Raul Astudillo ⋅ Daniel Jiang ⋅ Maximilian Balandat ⋅ Eytan Bakshy ⋅ Peter Frazier
Xinshi Chen ⋅ Haoran Sun ⋅ Caleb Ellington ⋅ Eric Xing ⋅ Le Song
Juan Correa ⋅ Sanghack Lee ⋅ Elias Bareinboim
Colin Conwell ⋅ David Mayo ⋅ Andrei Barbu ⋅ Michael Buice ⋅ George Alvarez ⋅ Boris Katz
Yuhan Chen ⋅ Takashi Matsubara ⋅ Takaharu Yaguchi
Michael Janner ⋅ Qiyang Li ⋅ Sergey Levine
Hang Lai ⋅ Jian Shen ⋅ Weinan Zhang ⋅ Yimin Huang ⋅ Xing Zhang ⋅ Ruiming Tang ⋅ Yong Yu ⋅ Zhenguo Li
Abhishek Roy ⋅ Krishnakumar Balasubramanian ⋅ Murat Erdogdu
Tanner Fiez ⋅ Ryann Sim ⋅ Stratis Skoulakis ⋅ Georgios Piliouras ⋅ Lillian Ratliff
Junyu Zhang ⋅ Chengzhuo Ni ⋅ zheng Yu ⋅ Csaba Szepesvari ⋅ Mengdi Wang
Hanna Tseran ⋅ Guido Montufar
Christian Bueno ⋅ Alan Hylton
Aurelien Lucchi ⋅ Antonio Orvieto ⋅ Adamos Solomou
Shuli Jiang ⋅ Hai Pham ⋅ David Woodruff ⋅ Richard Zhang
Jie Zhang ⋅ Song Guo ⋅ Xiaosong Ma ⋅ Haozhao Wang ⋅ Wenchao Xu ⋅ Feijie Wu
Julian Katz-Samuels ⋅ Blake Mason ⋅ Kevin Jamieson ⋅ Rob Nowak
Sid Reddy ⋅ Anca Dragan ⋅ Sergey Levine
Max Schwarzer ⋅ Nitarshan Rajkumar ⋅ Michael Noukhovitch ⋅ Ankesh Anand ⋅ Laurent Charlin ⋅ R Devon Hjelm ⋅ Philip Bachman ⋅ Aaron Courville
Zhiyuan Jerry Lin ⋅ Hao Sheng ⋅ Sharad Goel
Yichen Yang ⋅ Jeevana Priya Inala ⋅ Osbert Bastani ⋅ Yewen Pu ⋅ Armando Solar-Lezama ⋅ Martin Rinard
Li Wang ⋅ Li Zhang ⋅ Yi Zhu ⋅ Zhi Zhang ⋅ Tong He ⋅ Mu Li ⋅ Xiangyang Xue
Christopher Grimm ⋅ Andre Barreto ⋅ Greg Farquhar ⋅ David Silver ⋅ Satinder Singh
Guy Blanc ⋅ Jane Lange ⋅ Li-Yang Tan
Junjie Yang ⋅ Kaiyi Ji ⋅ Yingbin Liang
Lantao Yu ⋅ Jiaming Song ⋅ Yang Song ⋅ Stefano Ermon
Aditya Desai ⋅ Zhaozhuo Xu ⋅ Menal Gupta ⋅ Anu Chandran ⋅ Antoine Vial-Aussavy ⋅ Anshumali Shrivastava
Anthony Caterini ⋅ Gabriel Loaiza-Ganem ⋅ Geoff Pleiss ⋅ John Cunningham
Xu-Hui Liu ⋅ Zhenghai Xue ⋅ Jingcheng Pang ⋅ Shengyi Jiang ⋅ Feng Xu ⋅ Yang Yu
Zhanghao Wu ⋅ Paras Jain ⋅ Matthew Wright ⋅ Azalia Mirhoseini ⋅ Joseph Gonzalez ⋅ Ion Stoica
Shaojie Li ⋅ Jie Wu ⋅ Xuefeng Xiao ⋅ Fei Chao ⋅ Xudong Mao ⋅ Rongrong Ji
Yamini Bansal ⋅ Preetum Nakkiran ⋅ Boaz Barak
Ajil Jalal ⋅ Marius Arvinte ⋅ Giannis Daras ⋅ Eric Price ⋅ Alex Dimakis ⋅ Jon Tamir
Sihyun Yu ⋅ Sungsoo Ahn ⋅ Le Song ⋅ Jinwoo Shin
Jungwuk Park ⋅ Dong-Jun Han ⋅ Minseok Choi ⋅ Jaekyun Moon
Yu Bai ⋅ Chi Jin ⋅ Huan Wang ⋅ Caiming Xiong
Thiago Serra ⋅ Xin Yu ⋅ Abhinav Kumar ⋅ Srikumar Ramalingam
Guan-Horng Liu ⋅ Tianrong Chen ⋅ Evangelos Theodorou
Romain Camilleri ⋅ Zhihan Xiong ⋅ Maryam Fazel ⋅ Lalit Jain ⋅ Kevin Jamieson
Xuefan Zha ⋅ Wentao Zhu ⋅ Lv Xun ⋅ Sen Yang ⋅ Ji Liu
Yifan Chen ⋅ Qi Zeng ⋅ Heng Ji ⋅ Yun Yang
Archit Karandikar ⋅ Nicholas Cain ⋅ Dustin Tran ⋅ Balaji Lakshminarayanan ⋅ Jonathon Shlens ⋅ Michael Mozer ⋅ Becca Roelofs
Yutong He ⋅ Dingjie Wang ⋅ Nicholas Lai ⋅ William Zhang ⋅ Chenlin Meng ⋅ Marshall Burke ⋅ David Lobell ⋅ Stefano Ermon
Zichen Miao ⋅ Ze Wang ⋅ Xiuyuan Cheng ⋅ Qiang Qiu
Mattia Atzeni ⋅ Jasmina Bogojeska ⋅ Andreas Loukas
Valerii Likhosherstov ⋅ Krzysztof Choromanski ⋅ Jared Quincy Davis ⋅ Xingyou Song ⋅ Adrian Weller
Chaoqi Wang ⋅ Adish Singla ⋅ Yuxin Chen
Emmanuel Abbe ⋅ Enric Boix-Adsera ⋅ Matthew S Brennan ⋅ Guy Bresler ⋅ Dheeraj Nagaraj
Dazhong Shen ⋅ Chuan Qin ⋅ Chao Wang ⋅ Zheng Dong ⋅ Hengshu Zhu ⋅ Hui Xiong
Mahdi Haghifam ⋅ Gintare Karolina Dziugaite ⋅ Shay Moran ⋅ Dan Roy
Zhenyu Xie ⋅ Zaiyu Huang ⋅ Fuwei Zhao ⋅ Haoye Dong ⋅ Michael Kampffmeyer ⋅ Xiaodan Liang
Holden Lee ⋅ Chirag Pabbaraju ⋅ Anish Prasad Sevekari ⋅ Andrej Risteski
Yufei Xu ⋅ Qiming ZHANG ⋅ Jing Zhang ⋅ Dacheng Tao
Yu Huang ⋅ Chenzhuang Du ⋅ Zihui Xue ⋅ Xuanyao Chen ⋅ Hang Zhao ⋅ Longbo Huang
Dhruv Malik ⋅ Yuanzhi Li ⋅ Pradeep Ravikumar
Go to Event Page
Affinity Event

WiML Workshop 1

Soomin Aga Lee ⋅ Meera Desai ⋅ Nezihe Merve Gürel ⋅ Boyi Li ⋅ Linh Tran ⋅ Akiko Eriguchi ⋅ Jieyu Zhao ⋅ Salomey Osei ⋅ Sirisha Rambhatla ⋅ Geeticka Chauhan ⋅ Nwamaka (Amaka) Okafor ⋅ Mariya Vasileva
6:00 PM - 11:00 PM

WiML’s purpose is to enhance the experience of women in machine learning. Our flagship event is the annual Women in Machine Learning (WiML) Workshop, typically co-located with NeurIPS. We also organize an “un-workshop” at ICML, as well as small events at other machine learning conferences such as AISTATS, ICLR, etc.

Our mission is to enhance the experience of women in machine learning, and thereby

Increase the number of women in machine learning
Help women in machine learning succeed professionally
Increase the impact of women in machine learning in the community

Toward this goal, we create opportunities for women to engage in substantive technical and professional conversations in a positive, supportive environment (e.g. annual workshop, small events, mentoring program). We also work to increase awareness and appreciation of the achievements of women in machine learning (e.g. directory and profiles of women in machine learning). Our programs help women build their technical confidence and their voice, and our publicity efforts help ensure that women in machine learning and their achievements are known in the community.

... more
Social

ML in India: A Billion Opportunities

Praneeth Netrapalli ⋅ Srujana Merugu
6:30 PM - 9:00 PM

Machine learning and data science activity is seeing a massive growth in India with many universities initiating related academic programmes, many research labs setting their base in India, and many ML and AI based start-ups rapidly expanding in India. This social aims to make NeurIPS attendees aware of career opportunities at these places by facilitating interaction between those interested in exploring career opportunities in India (e.g., graduating students and postdocs) and researchers who are currently based in India, and also create more awareness around ML problems that can have significant impact in the Indian context.

... more
Invited Talk
11:00 PM - 12:30 AM

At the end of the 18th century, Gaspard Monge introduced the optimal transport problem to understand the most efficient way of transporting a distribution of material from one place to another to build fortifications. In the last 30 years, this theory has found various applications in many areas of mathematics. However, more recently, optimal transport has also become a very powerful tool in many areas of machine learning. In this talk, we will give an overview of optimal transport, with some selected applications.

... more
Speaker Bio
Alessio Figalli
Alessio Figalli earned his doctorate in 2007 under the supervision of Luigi Ambrosio at the Scuola Normale Superiore di Pisa and Cédric Villani at the École Normale Supérieure de Lyon. He was a faculty at the University of Texas-Austin, before moving to ETH Zürich in 2016 as a chaired professor. Since 2019 he is the director of the “FIM-Institute for Mathematical Research” at ETH Zürich. In 2018 he won the Fields Medal for “his contributions to the theory of optimal transport, and its application to partial differential equations, metric geometry, and probability”.
... more